Non-linear model
Depuis le début de la régression, le nuage de points suggère un alignement linéaire. Mais il se peut que cela ne soit pas le cas, et que pourtant la variable X explique parfaitement la variable Y.
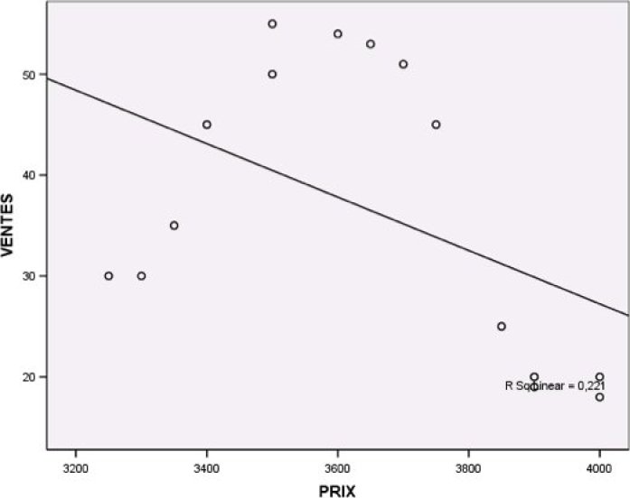
Nous allons étudier l'exemple Televiseurs qui recense 15 semaines différentes avec des prix de vente proposés pour les téléviseurs (variable X) et le nombre de ventes qui ont effectivement été effectuées (variable Y).

Le nuage de données est le suivant, et nous observons que le R² (=0,221) de la régression simple n'est pas bon.
Par contre le nuage suggère beaucoup plus un modèle quadratique avec une courbe de la forme y=ax² + bx + c
Pour cela, nous allons utiliser la régression multiple linéaire, en notant X1 la variable X, et en construisant une nouvelle variable X2 = X*X.
Puis nous allons faire une régression multiple entre Y et X1 et X2, de la forme
=b0+b1X1+b2X2
Nous obtenons les résultats suivants
@@@ Coefficients à calculer, actions à mener par SPSS
avec le graphique
et les estimations et les résidus
où l'on observe qu'il n'y a dans ce cas aucun outlier.







