Search the outliers
Une première possibilité pour améliorer le modèle peut être d'identifier dans un premier temps des individus ayant participé à la construction du modèle et donnant des valeurs élevées pour la construction du
.
Il s'agit donc de trouver des résidus ei présentant des valeurs extrêmes au sens de la loi normale, c'est à dire ei<-2
ou ei>2
.
Par conséquent, on appellera outlier un individu mal reconstitué par le modèle, autrement dit tel que :
![]()
On définira également le résidu standardisé
.
Et par conséquent, un individu sera un outlier si son résidu standardisé est <-2 ou >2, soit ![]()
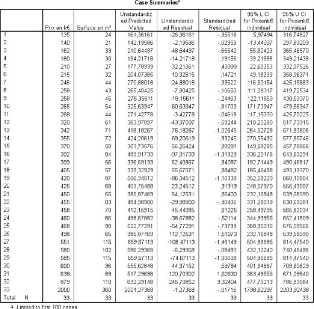
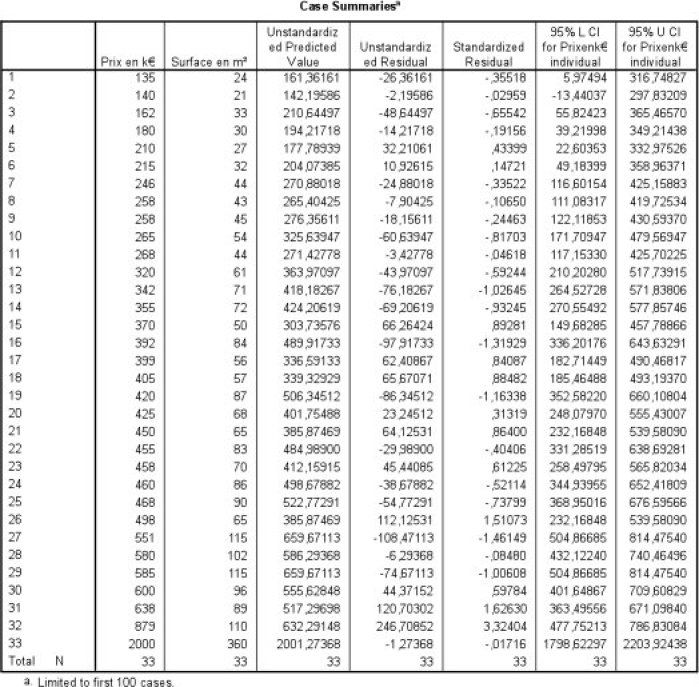
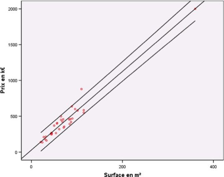
On observe bien sur ces résultats que l'appartement n° 32 est un outlier.
Graphiquement, on peut également identifier les outliers en traçant autour de la droite de régression deux droites parallèles éloignées de 2
, tout individu en dehors de ces deux droites étant un outlier.
La question qui se pose maintenant est de savoir si oui on non on élimine cet outlier. Cela ne doit pas être une considération mathématique mais être fonction du cas d'étude en observant particulièrement ce ou ces individus.
L'appartement 32 est identifié comme outlier. Si en observant ses caractéristiques, on voit que cet appartement en question présente des particularités autres permettant d'expliquer son prix élevé (879 au lieu d'un prix du marché estimé à 632, ou compris dans un intervalle de prévision entre 477 et 787) comme une vue exceptionnelle ou un équipement de luxe, on peut dans ce cas justifier de l'éliminer de l'échantillon permettant de construire le modèle.
Dans ce cas, on recommence le processus au début en recherchant un nouveau modèle avec de nouveaux coefficients ce qui nous donne :
soit un modèle de la forme
![]()
avec un R et un R² meilleurs que précédemment (c'est mathématique), et une précision de 2 sigma ^
avec
= 59,78.
Par conséquent, par rapport au modèle initial qui avait une précision de 148,5, on obtient une précision de 120, simplement en éliminant un outlier.
Bien évidemment, on peut observer à ce moment d'autres outliers pour ce nouveau modèle et il appartiendra au chargé d'étude d'avoir une attitude responsable à chaque fois qu'il décide d'éliminer ou non un outlier pour construire un nouveau modèle.







