Les fréquences
Le problème
Le problème est semblable à celui des moyennes (où on avait à étudier une variable quantitative).
Dans le cas des fréquences, on étudie une variable qualitative à deux modalités qui sont :
- présente un caractère donné
-ne le présente pas.
Reprenons l'exemple de Rola Kola et étudions plus particulièrement la question 1 : quelle boisson préférez-vous ? Rola ou Kola ?
Nous observons que 24 personnes sur 40 préfèrent le Rola, ce qui représente p =24/40=60% de personnes préférant le Rola sur l'échantillon, où p est la proportion de personnes préférant le Rola calculée sur l'échantillon.
Le problème est de savoir que elle est la proportion f de personnes préférant le Rola sur la population totale.
Cette quantité est bien évidemment inconnue et n'est pas calculable.
Néanmoins, nous allons essayer de savoir si f (proportion sur la population) est éloignée de p (proportion sur l'échantillon). Pour cela nous allons également construire un intervalle de confiance.
Estimation par intervalle de confiance de la fréquence
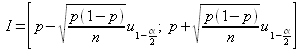
Toujours grâce au théorème central limite, nous pouvons dire que f se trouvera à a près, où a est un risque d'erreur que l'on se fixe a priori, dans l'intervalle suivant :
![]()
où
est le fractile d'ordre
d'une loi normale centrée réduite.
Ces fractiles se trouvent dans les tables des fractiles de la loi normale (voir A.2).
Application : si on prend un risque d'erreur de 5%, nous avons
=1,96.
Avec p = 0,6 et n = 40, on a
.
Donc I = [0, 6 - 0, 152; 0,6+ 0, 152].
Je peux dire donc, avec un risque d'erreur de 5%, que la proportion de personnes préférant le Rola au niveau de la population totale est comprise entre 45% et 75%.
Que peut-on tirer comme enseignements de ce résultat ?
Tout d'abord, nous nous rendons compte que le résultat d'une enquête ne peut être donné de façon ponctuelle (par exemple il est osé de dire "nous estimons que 60% des personnes préfèrent le Rola"), mais qu'il est préférable de le donner accompagné d'une précision, c'est à dire sous la forme d'un intervalle de confiance.
Nous voyons ensuite que ce résultat n'est pas très précis dans ce cas. Comment l'améliorer ? Soit en diminuant les fractiles, ce qui aura pour conséquence d'augmenter le risque d'erreur (a), soit en augmentant n, c'est à dire le nombre de personnes se trouvant dans l'échantillon. Pratiquement, cela aura une incidence sur le coût de réalisation d'une telle enquête.




